প্রথমেই সবাইকে আমার সালাম জানাই। আশা করি সকলেই ভাল আছেন। আজ আমি HSC (বিজ্ঞান) শিক্ষার্থীদের জন্য ইন্টিগ্রেশনের বিভিন্ন সমস্যা সমাধানের নিয়মাবলী নিয়ে এসেছি। হয়ত কাজে লাগতে পারে।
সবার আগে আমি আমি ক্যালকুলাস কি, এটার ব্যবহার, উদাহরণ এসব আলোচনা করব। এরপর ইন্টিগ্রেশনের বিভিন্ন নিয়মাবলী নিয়ে আলোচনা করব। ধৈর্য ধরে পড়তে হবে।
তাহলে শুরু করা যাক
ক্যালকুলাস কি?
ক্যালকুলাস আসলে অ্যাডভান্সড বীজগণিত এবং জ্যামিতির এক অসাধারণ সমন্বয়। গণিতের পরিপ্রেক্ষিতে বলা যায় এটা কোন নতুন বিষয় বা সাবজেক্ট নয়। ক্যালকুলাসে সাধারণ বীজগণিতীয় এবং জ্যামিতিক সূত্রাবলি ব্যবহৃত হয় কিন্তু ক্যালকুলাসের সমস্যাগুলি অবশ্যই বীজগণিত এবং জ্যামিতির চেয়ে আলাদা ও একটু জটিল। যেখানে বীজগণিত, জ্যামিতি এবং ত্রিকোণমিতির শেষ সেখান থেকেই ক্যালকুলাসের শুরু।
এবার আমরা একটু ক্যালকুলাসের ব্যবহারিক দিক লক্ষ্য করিঃ
১ম চিত্রে একজন লোক একটি বাক্স উপরে উঠাতে চেষ্টা করছে। এক্ষেত্রে তিনি F বল প্রয়োগ করলে যদি শীর্ষে উঠাতে পারেন তাহলে তার কাজ কত?
অতি সহজ!! তাই না? এবার নিচের চিত্রটি দেখুনঃ
ক্যালকুলাস ছাড়া করে দেখাতে পারবেন? 
মনে হয় পারবেন না?
কারণঃ
এক্ষেত্রে প্রতিটি পদক্ষেপে ঢাল বা ইনক্লাইন পরিবর্তন হচ্ছে ফলে ঢাল যতই বৃদ্ধি পাচ্ছে লোকটিকে আরও বেশি পরিমাণ বল প্রয়োগ করতে হচ্ছে বাক্সটি উঠানোর জন্য। ফলশ্রুতিতে কাজের পরিমাণও পরিবর্তিত হচ্ছে। প্রতি সেকেন্ডে বা এক হাজার ভাগের এক সেকেন্ডে নয়; এক মুহূর্ত থেকে অন্য মুহূর্তে পরিবর্তনগুলো হচ্ছে যেটা একে ক্যালকুলাসের একটি সমস্যায় পরিণত করেছে। এখন নিশ্চয়ই আপনার এ ব্যপারে কোন দ্বিমত নেই যে কেন ক্যালকুলাসকে “MATHEMATICS OF CHANGE” বলা হয়।
আঁকাবাঁকা সমতলের সমস্যাটির ক্ষেত্রে পদার্থ, জ্যামিতি এবং ত্রিকোণমিতির সকল সূত্রাবলি অপরিবর্তিত থাকবে। পার্থক্য এই যে, রেগুলার সমস্যাগুলোতে যেমন আমরা এসকল সূত্র একধাপে বসিয়ে সমস্যার সমাধান দিতে পারি কিন্তু আঁকাবাঁকা সমতলের সমস্যার ক্ষেত্রে কার্ভের প্রতিটি বাঁককে অতি ক্ষুদ্র ক্ষুদ্র সেগমেন্টে বিভক্ত করতে হবে (অর্থাৎ ডিফারেনশিয়েট করতে হবে) এবং প্রতিটি সেগমেন্টে বীজগাণিতিক, ত্রিকোণমিতিক, জ্যামিতিক কিংবা পদার্থবিজ্ঞানের সূত্রাবলি বসিয়ে উত্তর বের করে সামগ্রিক ক্ষেত্রে (পুরো তলের ক্ষেত্রে) আবার উত্তর বের করতে হবে। (অর্থাৎ ইন্টিগ্রেট করতে হবে)
এখানে একটি প্রশ্ন আসে, কেন সমবলে আঁকাবাঁকা তলে বস্তুটিকে উঠালে বল পরিবর্তিত হবে?
**এর উত্তর হল, যখন ভূমির সাথে theta কোণে হেলানো সমতল বরাবর কোন বস্তুকে তলের শীর্ষে উঠানো হয় তখন ওই বস্তুর ওজনের সাইন উপাংশ (mgsin(theta)) তল বরাবর ব্যক্তির বলের বিপরীতে ক্রিয়াশীল হয়। যদি উপাংশটি ব্যক্তি কর্তৃক প্রয়োগকৃত বলের চেয়ে বেশি হয়, তবে ওই ব্যক্তি বস্তুকে উপরে উঠাতে পারবেনই না বরং বস্তুটি নিচের দিকে গড়িয়ে (গোলাকার বস্তু হলে) পড়তে থাকবে, বস্তুটিকে তিনি তখনই উঠাতে পারবেন যখন তার বল বস্তুর ওজনের সাইনের উপাংশের চেয়ে বেশি হয়। আর তিনি যদি বস্তুটিকে উঠাতে পারেন তবে তার বলের কিছু অংশ বস্তুর ওজনের সাইন উপাংশ কর্তৃক প্রশমিত হয় এবং তিনি একটি লব্ধ ধ্রুব বলে বস্তুটিকে উঠাতে পারেন।
কিন্তু তল যদি আঁকাবাঁকা হয় তবে তার সাথে সাথে তলের ঢালেরও পরিবর্তন ঘটে। ঢালের পরিবর্তনের ফলে বস্তুর ওজনের উপাংশেরও পরিবর্তন ঘটে, যদি ওই ব্যক্তি ধ্রুব বলেই বস্তুটিকে আঁকাবাঁকা তলে উপরে উঠাতে চেষ্টা করেন তাহলে কখনও mgsin(theta)এর মান বাড়ে, কখনও বা কমে (কোণ সাপেক্ষে)। ফলে ওই ব্যক্তি যদিওবা সমবলে বস্তু উপরে উঠাচ্ছেন তার লব্ধি বল কিন্তু ক্রমাগত বাড়ছে অথবা কমছে এবং সেটার জন্য দায়ী mgsin(theta)।
**দ্রষ্টব্যঃ এই আলোচনায় ঘর্ষণ আনা হয় নি। ঘর্ষণ আনলেও ফলাফল একই হবে, তবে ব্যক্তিকে আরও বেশি বল প্রয়োগ করতে হবে কেননা, ব্যক্তির উপর বস্তু কর্তৃক প্রযুক্ত মোট বল= mgsin(theta) + ঘর্ষণ বল।**
এবার নিচের চিত্রটি লক্ষ্য করুন, কিভাবে আঁকাবাঁকা এলাকাকে আমরা সমতল হিসেবে বিবেচনা করতে পারিঃ
তাহলে দেখা যাচ্ছে, এভাবে আমরা কার্ভকে জুম করলে এটা ব্যবহারিকভাবে অথবা বাস্তবিকপক্ষে একটি রেখাতে পরিণত হয়। যেহেতু সেগমেন্টটি সরল; তাই আমরা এখানে বীজগাণিতিক, ত্রিকোণমিতিক, জ্যামিতিক কিংবা পদার্থবিজ্ঞানের সূত্রাবলি বসাতে পারব!! এবার প্রতিটি ক্ষুদ্র সেগমেন্টের মান বের করলে যতগুলো সেগমেন্ট পাওয়া গেল সেগুলোর সমষ্টিই হবে কাঙ্ক্ষিত ফলাফল!
এতক্ষণ ক্যালকুলাস নিয়ে যত বক বক করা হল তা খুবি অল্প। এটা দিয়ে এমন ধরণের সমস্যার সমাধান করা যায় যেগুলো আমরা সাধারণ বীজগণিত, জ্যামিতি অথবা পদার্থবিজ্ঞান এর সূত্রাবলি দিয়ে করতে পারি না কারণ সব কিছুই একটু পর পর পরিবর্তিত হচ্ছে, তবে ক্যালকুলাস ক্যালকুলাসীয় সমস্যাগুলোতে আমাদের এসকল সূত্র ব্যবহার করার পরিবেশ কিংবা সুযোগ (যেটাই বলুন না কেন!) তার ব্যবস্থা করে!তাহলে বোঝা যাচ্ছে ক্যালকুলাস ব্যবহার করে জুম করে এবং সরল করে অতঃপর সাধারণ সূত্র ব্যবহার করে আমরা ওইধরণের সমস্যার সমাধান নিমেষেই দিতে পারি।
প্রশ্ন হল, ক্যালকুলাস কিভাবে কার্ভকে জুম করে বা সরলরেখায় পরিণত করে?
খুবই সহজঃ ক্যালকুলাসে আমরা যেটাই করি না কেন তা অসীমের দিকে ধাবিত করে; সেটা ডিরেক্টলিই হোক কিংবা ইন্ডিরেক্টলিই হোক। যেমনঃ প্রি-ক্যালকুলাসে আমরা দেখি (সোজা কথায় লিমিটের অঙ্কগুলো)মূল নিয়মে শূন্যের কাছাকাছি ক্ষুদ্রাতিক্ষুদ্র পরিবর্তনের মাধ্যমে সূত্রাবলি ডিরাইভ করা হয়েছে। পরিবর্তন যদি শুণ্যের কাছাকাছি হয় তবে পরিবর্তনের গ্রাফ কিন্তু ক্ষুদ্র সরলরেখাই হয়।
ক্যালকুলাসের কিছু বাস্তব উদাহরণঃ
কোন একটি মই যদি দেয়ালে ঠেস দেওয়া থাকে এবং মইয়ের ও ভূমির স্পর্শতল থেকে যদি দেওয়ালের দূরত্ব দেওয়া থাকে, এবং দেয়ালে ও মইয়ের স্পর্শবিন্দু থেকে দেয়ালের পাদদেশের উচ্চতা দেওয়া থাকে তবে আমরা অতি সহজে মইয়ের উচ্চতা নির্ণয় করতে পারি। যেমনঃ
এটাও বাস্তব উদাহরণ কিন্তু অতি সহজে সমাধানযোগ্য। এবার ধরা যাক, দুইটি টাওয়ার একটি তারের সাথে যুক্ত। কিন্তু, পরে তারের দৈর্ঘ্য নির্ণয় করা প্রয়োজন হল। এখন উপায়? নিশ্চয়ই বলবেন যে টাওয়ার দুইটির মধ্যবর্তী দূরত্বই হল তারের দৈর্ঘ্য। আসলেই কি তাই? চিত্র দেখুনঃ
তারটি আসলে একটি পরাবৃত্তের আকার গ্রহন করেছে। যেকোন তড়িৎ সরবরাহকারী প্রতিষ্ঠানের জন্য তারের সঠিক দৈর্ঘ্য জানা অত্যাবশ্যক।
এবার আরও কিছু উদাহরণ দেখিঃ
নিম্নোক্ত ঘরের রুফটপের ক্ষেত্রফল জ্যামিতিক সূত্র প্রয়োগ করে অতি সহজেই জানা যায়, ঠিক না?

কিন্তু এই গম্বুজের ক্ষেত্রফল কি শুধু জ্যামিতিক সূত্র প্রয়োগ করে বের করা সম্ভব?
নিশ্চয়ই নয়? এখানে ক্যালকুলাস ব্যবহার করতে হবে এবং x,y ও z তিনটি অক্ষই থাকবে।
এতক্ষণে আপনারা নিশ্চয়ই বুঝতে পেরেছেন ক্যালকুলাস এর গুরুত্ব কতখানি?
আর ক্যালকুলাস নিয়ে কাঁপঝাঁপ নয়। এবার আমি কতগুলি নিয়ম দেব যেগুলো জানা থাকলে HSC এর ইন্টিগ্রেশন অংশের ৮০ শতাংশ এমনিই শেষ হয়ে যাবে।
আর হ্যাঁ, আমি শুধু নিয়মগুলি একত্রে দেব এবং যথাসাধ্য চেষ্টা করব নিয়মগুলি বুঝিয়ে দিতে।
শুরু করার আগে ইন্টিগ্রেশন করার সূত্রগুলো একনজরে দেখে নেওয়া যাকঃ
যাকে ইন্টিগ্রেশন করতে হবে তাকে In দ্বারা প্রকাশ করব।
Rule:#1
বিবৃতিঃ কোন In এর একটি অংশকে বা অংশবিশেষকে ডিফারেনশিয়েট করলে যদি অপর একটি পূর্ণ অংশ পাওয়া যায় তবে তাকে z বা t ধরতে হবে। এবং dz এর মান বের করতে হবে। অবশেষে z এবং dz এর মান বসিয়ে সমাকলন করার পর সবশেষে z ও dz এর মান উঠিয়ে চলকের মান বসাতে হবে।
[এখানে z বা t এর কোন গুরুত্ব নেই, যেকোন প্রতীক ব্যবহার করা যাবে যেটা প্রদত্ত অঙ্কে না থাকে, সাধারণত z বা t অঙ্কে থাকে না বিধায় এ দুটোকেই প্রতীক হিসেবে ব্যবহার করা হয়ে থাকে]
ইন্টিগ্রেশন করার ক্ষেত্রে এটি একটি ব্যপকভাবে ব্যবহৃত একটি নিয়ম। না বুঝে থাকলে চলুন কিছু উদাহরণ দেখিঃ
১।
২। এখানে একটা কথা বলা দরকার যে, lnz কে uv পদ্ধতিতে ইন্টিগ্রেশন করলে অর্থাৎ, u=lnz ধরে ইন্টিগ্রেশন করলে zlnz-z রাশিটি পাওয়া যায়।
৩। আশা করি এতক্ষণের মধ্যে নিয়মটি বুঝেছেন, তাহলে আরেকটি উদাহরণ দেখে এই নিয়মটির খতম দেই। সামনের অঙ্কগুলোতে এই নিয়মটি মিক্সড অবস্থায় থাকতে পারে। 
এবার ২য় নিয়মটি দেখা যাকঃ
Rule:#2
বিবৃতিঃ যদি কোন In সমস্যা বা (যেখানে, n=3,5,7…. বেজোড় সংখ্যা) আকারের হলে,
(I)
এর জন্য প্রথমে একে
এ পরিনত করতে হবে। পরে,
কে
এ রূপান্তরিত করে, z=cosx ধরে dz এর মান বের করে ইন্টিগ্রেশন করলেই হবে।
(II)
এর জন্য প্রথমে একে
এ পরিনত করতে হবে। পরে,
কে
এ রূপান্তরিত করে, z=sinx ধরে dz এর মান বের করে ইন্টিগ্রেশন করলেই হবে।
এবার একটি উদাহরণ দেখা যাকঃ
এই নিয়মের অঙ্কগুলো সব একই বিধায় একটিমাত্র উদাহরণ দেওয়া হল। cos হলে তাকে একই নিয়মে sin এ রূপান্তরিত করে ইন্টিগ্রেশন করতে হবে।
তবে একটা কথা, যদি সাইন কিংবা কোসাইন এর ঘাত ৩ হয় তবে আমরা শুধু সূত্র বসিয়েই ইন্টিগ্রেশন করতে পারব, কিন্তু ৩ এর অধিক হলে এই নিয়মটি খাটাতে হবে।
এবার ৩য় নিয়মটি একটু দেখিঃ
Rule: #3
বিবৃতিঃ
কোন In যদি
বা
আকারের হয় (যেখানে n=2,4,6,… .. .. জোড় সংখ্যা) তবে,
(I)
হলে তাকে
আকারে প্রকাশ করে কোসাইনের সূত্রে রূপান্তর করতে হবে।
(I)
(II)
আকারের হলে তাকে
আকারে প্রকাশ করতে হবে এবং কোসাইনের সূত্রের রূপ দিতে হবে।
**** এবং এ প্রক্রিয়া চলতেই থাকবে যতক্ষণ না পর্যন্ত ঘাত ১ এ নেমে আসে****
এবার সচিত্র দেখা যাকঃ
(অংকটার সমাধান একটু বড় বিধায় দুটি চিত্রে দেওয়া হল)
এটাও ২ নং নিয়মের মত বলে একটাই উদাহরণ দেওয়া হল। সাইন বা কোসাইনের ঘাত জোড় থাকলে; সেটা যেকোন অঙ্কই হোক না কেন, তাকে আমরা কোসাইনের সূত্রে ফেলে দিতে চেষ্টা করব। 
এবার দেখা যাক ৪ নং সূত্র কী বলে?
Rule:#4
বিবৃতিঃ কোন In যদি
আকারের হয় তবে লব ও হর; উভয়কেই e-x দ্বারা গুণ করতে হবে। সরল করার পর হর=z ধরতে হবে।
এবার চিত্রের মাধ্যমে দেখিঃ
এবার আরেকটি অঙ্ক দেখা যাক, যেটাতে শুরুর দিকে মনে হবে যে এই নিয়মেই পড়বে কিন্তু পরে দেখা যাবে অঙ্কটি অন্য নিয়মে সমাধানযোগ্যঃ
এই নিয়মের আপাতত এইখানেই ইতি টানলাম। এরপর দেখা যাক পরের নিয়মটি কী বোঝাতে চায়ঃ
Rule:#5
বিবৃতিঃ কোন In যদি লব এবং হর উভয়েই x এর ফাংশন হয় এবং লবের x এর সর্বোচ্চ ঘাত হরের সর্বোচ্চ ঘাতের বেশি বা সমান হয় তাহলে লবকে হর দ্বারা ভাগ করতে হবে।
ভাগ করার নিয়মঃ
লবের স্থলে হর লিখে তাকে ব্যালেন্স করতে হবে (মূল সূচক চিহ্ন যদি সম্পূর্ণ রাশির উপরে থাকে তবে তা ব্যতীত লিখতে হবে)। তারপর হর দিয়ে লবকে ভাগ করতে হবে।
এটা একটা গুরুত্বপূর্ণ নিয়ম। .. .. .. বুঝি নাই?! 
তাহলে ছবির দিকে দৃষ্টিপাত করুনঃ 
এ অঙ্কটা অন্য নিয়মেও করা যায়। সেটা পরে দেখান হবে।
এবার নেক্সট নিয়মে আসা যাক।
Rule:#6
বিবৃতিঃ কোন In যদি
বা,
অথবা,
আকারের হয়,
তবে, সর্বদা,
ও
বসাতে হবে এবং অঙ্ক সরল করার পর
ধরতে হবে।
বোঝা গেল না বুঝি?
তাহলে চিত্র দেখুনঃ
এ জাতীয় আরও অঙ্ক আছে, তবে সেটার সাথে অন্য নিয়ম মিক্সড থাকায় দেওয়া হল না। ওই নিয়ম শেখার পর নিশ্চয়ই দেব।
Rule: #7
বিবৃতিঃ যদি কোন In এর হর যদি f(x) হয় এবং লব যদি f’(x) হয়। অর্থাৎ, হরকে ডিফারেন্সিয়েট করলে যদি লব পাওয়া যায় তাহলে এই নিয়মটি অনুসরণ করতে হবে।
যদি
হয় তবে এর ইন্টিগ্রেশন হবে
। তবে ধ্রুবক থাকলে ব্যালেন্স করে নিতে হবে।
কয়েকটা উদাহরণ দেখলেই ব্যপারটা পরিষ্কার হয়ে যাবেঃ
আরেকটা উদাহরণ দেখিঃ
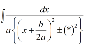
Rule:#8
বিবৃতিঃ কোন In যদি
বা
হয় তবে তাকে প্রথমে
বা
তে রূপান্তরিত করতে হবে এবং তারপর
বা
তে পরিণত করতে হবে। (*) এর মানে হল ব্যালেন্স ঠিক রাখার জন্য প্রয়োজনীয় ধ্রুবক যোগ অথবা বিয়োগ করা। এরপর অঙ্কের ফরম্যাট অনুযায়ী তাকে উপযোগী সূত্রের মাধ্যমে সমাধান করতে হবে।
বা
এটার ক্ষেত্রে x2 ও x এর আগে মাইনাস থাকতে পারে। সর্বদা x2 এর আগের মাইনাসকে প্লাসে নিতে হবে। তারপর ক্যালকুলেশন করতে হবে।
বোঝা না গেলে চলুন কিছু ছবি(অঙ্ক) দেখিঃ
আরেকটা দেখা যাক; এবারের অঙ্কটাতে Rule:#6 ও থাকবে।
কি চমৎকার দেখা গেল অঙ্কটিতে!! একইসাথে তিনটি Rule
তাহলে আশা করা যায়, নিয়মটি বোঝা গেল। তাই না?
এবার নেক্সট নিয়মটা দেখি,
Rule:#9
বিবৃতিঃ কোন In যদি
বা
বা
বা
আকারের হয় তবে
ধরতে হবে। এরপর x কে theta এর সাপেক্ষে ডিফারেন্সিয়েট করে মানগুলো বসিয়ে সমাধান করতে হবে।
বুঝতে হলে, অঙ্কচিত্র দেখে নিনঃ
Rule:#10
বিবৃতিঃ কোন In যদি
আকারের হয় তবে
ধরতে হবে এবং x কে theta এর সাপেক্ষে ডিফারেন্সিয়েট করে মানগুলো ওই রাশিতে বসিয়ে সমাধান করতে হবে।
একটি উদাহরণ দেখিঃ
এবার আসা যাক পরবর্তী নিয়মে
Rule:#11
বিবৃতিঃ কোন In যদি
বা
আকারের হয় তাহলে বর্গমূলের ভিতরের অংশটিকে z2 ধরে বর্গমূল ছাড়া অংশের মান এবং dx এর মান বের করে প্রদত্ত অঙ্কে বসিয়ে প্রয়োজনীয় ক্যালকুলেশনের মাধ্যমে সমাধান করতে হবে।
খুব সহজ, তাই না?!
তাহলে দেরি না করে আরেকটি নিয়ম দেখা যাক;
Rule:#12
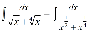
বিবৃতিঃ কোন In যদি একটি পদের ঘাত অপর পদের অর্ধেক অথবা দ্বিগুণ হয় তাহলে যেই পদের ঘাত কম সেই পদের ঘাতকে ১ করতে হলে z এর ঘাত তত ধরতে হবে এবং ডিফারেন্সিয়েট করে dx ও x এর মান বসিয়ে প্রয়োজনীয় ক্যালকুলেশন করে সমাধান করতে হবে। এটা ঠিক আগের নিয়মের মত তবে এখানে পদটি এক চলকবিশিষ্ট হবে এবং এই পদের সাথে কোন ধ্রুবক যোগ অথবা বিয়োগাকারে থাকে না।
অর্থাৎ, ধরি কোন In
, এখানে sqrt of x এর ঘাত x এর ঘাতের অর্ধেক। সুতরাং sqrt of x এর ঘাত 1 এ আনতে z2=x ধরতে হবে এবং একে ডিফারেন্সিয়েট করে প্রদত্ত অঙ্কে dx ও x এর মান বসিয়ে অঙ্কের সমাধান করতে হবে। এখানে কিন্তু সমস্যাটি
বা
আকারেও থাকতে পারে। সমাধানের নিয়মটি অপরিবর্তিত থাকবে।
একটা সমাধান দেখলেই নিয়মটা বোঝা যাবেঃ
এই পর্যন্ত ইন্টিগ্রেশনের বেশিরভাগ অঙ্কগুলোর সমাধানের নিয়মাবলী দেওয়া হল। (HSC)।
কিছু কথা উল্লেখ করা ভালঃ
১। এখানে ধ্রুবক সবার শেষে যোগ করা হয়েছে। কিন্তু একদম সঠিক নিয়ম হল; অনির্দিষ্ট যোগজের ক্ষেত্রে প্রত্যেকবার যোগজীকরণের পরে C যোগ করা। তবে, উচ্চমাধ্যমিক ও মাধ্যমিক বোর্ডে শেষের লাইনে C যোগ করলেই হয়। অর্থাৎ যেটা আমি করেছি।
২। এখানে uv method, কিংবা আংশিক ভগ্নাংশ অথবা নির্দিষ্ট যোগজ নিয়ে আলোচনা করা হয় নি। এ-স-ক-ল ক্ষেত্রে আমার টিউনের কোন না কোন নিয়ম কোন না কোন অঙ্কে খাটান যাবে, তবে uv method এর ক্ষেত্রে এবং আংশিক ভগ্নাংশের বেলায় পরিবর্তন আসবে; কিন্তু নির্দিষ্ট যোগজের ক্ষেত্রে কোন পরিবর্তন নেই, কেবল শেষে আপার লিমিট থেকে লোয়ার লিমিট বাদ দিলেই হবে এবং উল্লেখ্য যে C যোগ করা যাবে না।
আশা করি এই নিয়মগুলো আপনারা ভালভাবেই বুঝেছেন; না বুঝলে কমেন্টের মাধ্যমে জানানোর অনুরোধ করছি। এখানকার বেশ কিছু নিয়ম বোর্ডের বিভিন্ন বই থেকে সংগ্রহ করা হয়েছে।
এবার একটা ছোট্ট পরীক্ষা নেওয়ার পালা।
নিচে দুটো অঙ্ক দেব, আপনাদের উত্তরটা বলতে হবে।
১।
২।
**লেখাটি পিডিএফ আকারে দেওয়ার চেষ্টা করেছি কিন্তু বেশ কয়েকবার আপলোড হতে সমস্যা করায় আর দেওয়া হল না, যাদের লেখাটি প্রয়োজন তাঁরা একটু কষ্ট করে www.web2pdfconvert.com সাইটটিতে গিয়ে কনভার্ট করে নিয়েন। ধন্যবাদ।**
যারা পিডিএফ আকারে পেতে চান এই লিঙ্ক থেকে ডাউনলোড করুনঃ http://www.mediafire.com/?2166bs8g516ea2t
কোন মন্তব্য নেই:
একটি মন্তব্য পোস্ট করুন